文章来源:筑龙岩土

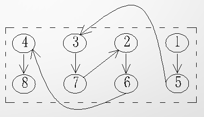
钻进顺序必须采取跳钻方式,避免串孔及钻进振动对新浇筑桩身混凝土的影响。以某承台为例,如每个承台只设置一台钻机,钻桩顺序依次为:①→⑤→③→⑦→②→⑥→④→⑧。
(1)根据业主提供的测量基准点和基线,会同有关单位复核认定后,方可作为测量基点使用,并经常复核。(2)桩位采用三次校正复核措施,即第一次放样定出桩位中心,并用十字交叉法确定护筒坑的挖掘位置;第二次测量校正护筒位置,打入定位钢筋,并提请复核;第三次钻孔定位时,使用铅锤校正,使转盘中心与桩位中心重合。
护筒作用为保护孔口,隔离上部杂填松散物,是防止孔口塌陷的必要措施,也是控制定位,标高控制的基准点。因此,每根桩施工前必须埋设护筒本工序重点要求为:护筒埋设深度根据土质不同确定;回填必须对称进行,以免护筒跑位;保证桩位位置无地下障碍物。(1)护筒采用钢板卷制而成,护筒内径大于桩径20-40mm为宜,护筒中心与桩位中心重合,护筒埋设应垂直、四周用粘土回填密实。(2)护筒埋设好后,及时复核桩位,若有误差大于规范要求,则重新埋设。(3)在埋设护筒前,先小心触探地下是否有障碍物(旧房基础等),避免在正式钻孔施工时因地下障碍物而影响正常施工。
本工序的重点为:本工序是整个钻孔灌注桩施工中最为关键的工序。钻进时密切注意桩架的稳定情况,钻机就位后要及时调正底座的水平,机架上部滑轮、转盘中心和桩位三点应在同一直线上。钻机机身必须牢固,保证施工过程中不位移、不倾斜。在开钻前必须进行满负荷运转。(1)根据试桩的情况和设计要求,确认钻头直径。开钻时,要低压、低速钻进,以保证钻孔的垂直度。(2)根据不同的地质特点,合理控制钻进参数(钻速、钻压、钻进速度要求)。一般土层(主要指粘土层)使用Ⅱ档(70转/分),适当减小钻压,加快钻进速度;在特殊情况下(主要指砂层土),使用Ⅰ档(40转/分),适当增加钻压,减慢钻进速度。
(3)钻孔中的钻进快与慢,护壁泥浆的性能、指标要根据实际地层的土质情况而变化。(4)钻孔中泥浆密度控制:一般情况,在松散易塌地层中(如粉土、粉砂土层),泥浆密度控制在1.30左右,在粘性土层中(如粉质粘土),泥浆密度控制在1.25左右。(5)在成孔过程中,泥浆池循环沟应经常疏通,泥浆池应定期清理废浆及时外运。



本工序重点要求为:清孔关键在于一清,一清应在钻至桩基设计底部1~2米时进行,清孔时上下提动钻杆,有利于捣碎较大泥块,从而使较小的泥块随泥浆从孔口泛出,因此一清工作成功完成,更加能保证底部沉淤符合设计要求。(1)第一次清孔:成孔结束后立刻利用钻杆进行第一次清孔,目的是清除成孔时产生的沉渣。(2) 第二次清孔:一次清孔后,提出钻杆,测量孔深,并抓紧时间安放钢筋笼和砼导管,通过砼导管压入清浆,进行第二次清孔,目的是清除在安放钢筋笼及砼导管时产生的沉渣。
(3) 清孔后孔内泥浆密度1.10~1.15,粘度20~26秒,含沙量≤3%,孔底沉渣≤100mm。(4)二次清孔完毕后,均由专人测量孔深及孔底沉渣。备用各种泥浆测试工具。如孔内泥浆各项指标不符合设计和规范要求,应重新进行清孔直至合格为止。
本工序的重点为:钢筋选用具有质量保证书、并通过抽样复检合格的钢筋,钢筋笼由专职钢筋工和持证电焊工上岗制作,并对钢筋搭焊质量抽样送检,抽样数量为每300个焊接接头做一组试验。钢筋笼在预制模中点焊成型,做到成型主筋直、误差小、箍筋圆、直观效果好,为了保证钢筋笼主筋不产生露筋现象,工程采用4Φ100×50砼块在钢筋笼上设置,每3米一组,对称设置。
本工序的重点为:钢筋笼不得强行下笼,下笼时应缓慢旋转下放,注意垂直居中下放避免碰撞土壁;吊筋应牢固,以免钢筋笼坠落;吊筋的长度应根据实测标高计算而定,确保笼顶标高正确。 
钢筋笼分几节制作,必须由钢筋班长自检,安放前会同监理进行验收,并当场进行隐蔽工程验收签证,未经验收的钢筋笼不得下放。为保证钢筋笼的标高,由测量工测定钻机平面标高,由施工员测定焊接吊筋长度。本工序的重点为:精确计算理论初灌量,保证第一斗混凝土灌入后保证导管底部埋入砼面2m以上;为保证水下砼的浇注质量,导管在使用前应做水密性检验,拆除导管必须按照实测数据,防止导管拔空产生断桩现象。(1)采用导管法浇注水下砼,导管接头须不漏水,密封圈完好无损(2)商品砼要求:砼坍落度宜控制在16~22cm,石子采用5~25碎石,砼初凝时间控制在6~8小时(3)砼浇筑前安放好隔水塞和漏斗,导管底口离孔底30-50cm,待灌满砼,再剪断悬挂砼隔水塞的铁丝,漏斗中的砼开始灌下时,立刻向漏斗中继续输送砼,以确保砼浇灌的连续性,从而保证第一灌砼的浇灌量。始灌时间与完孔时间间隔≤24小时,与二次清孔验收时间间隔≤0.5小时。
(4)砼开浇时,计算好混凝土初灌量。浇灌砼过程中,导管埋入砼深度必须保持2-4米,严禁将导管提出砼面或埋入过深。砼应连续浇注,完桩浇注时间≤4小时。导管应勤提勤拆,一次提管宜控制在4m左右,并应控制砼液面上开高度,一般浇灌一车砼检测2次左右,如遇异样,应勤测深度。(5)每根桩的砼灌注须做好三次坍落度试验,以及一组砼试块。(6)砼浇注前应使泥浆池留存足够的贮浆量,并能及时外运,以保证砼能连续浇灌并防止泥浆外溢。
混凝土浇筑完毕后,尽快对桩孔进行回填至自然地坪标高。(1)桩顶空孔部分及时采用沙土或者道渣回填,以保证场地平整、密实,确保施工设备的正常行走(2)工程空孔段长度达到20m左右,特别是主楼区域布桩较密,稍有不慎容易引起上部穿孔、坍孔等现象。如出现类似情况,应予以重视并采取相应措施,一般用粘土回填原孔位,再在孔周布3~4个注浆孔进行注浆加固,以确保施工安全和成孔的顺利进行,进而保证施工质量与进度。
原材料、半成品、成品(构件)进入现场,应执行订货合同中规定的验收方法。经验收合格后由施工单位项目部材料员、质量员审核班组填写的《现场收料单》和《验收单》,并按规定的计帐手续进行登帐。原材料、半成品、成品(构件)质保单、合格证应具备,并按规定的计帐手续进行登帐。对原材料、半成品、成品(构件)的品种、规格、外形、尺寸、损坏情况等进行直观检查,并经项目部试验员审核班组或分包单位填写的《原材料检验记录》。对需复试的原材料、半成品、成品(构件)按规定做好原材料复试。试验报告反映合格后方能使用。(1)进场钢筋须提供送货单、合格证。逐盘检查外观质量,钢筋表面不得有裂缝、机械损伤和严重锈蚀。(2)钢筋直径检查:以每批钢筋的炉批号为一批,抽查总件数的10%且不少于3件。(3)外观检查合格后,应逐盘检验钢筋的抗拉强度、伸长率和冷弯试验。按每批次(60t)每规格进行复试,复试后要提供检测报告。(4)同一种类型钢筋焊接接头每300只焊接接头做一组试验。(5)钢筋试件应随机取样,取样时应将端头去掉1m,同时取样时应有监理现场见证取样,取样人员应有上岗证。(6)钢筋应根据实验检验结果使用,达不到要求,不得使用。(7)经验收及试验合格的钢筋应按其直径、强度等级、组号分别堆放,堆放时应避免钢筋受到腐蚀和污染。(应在钢筋下面垫放道木垫空)
(1)进场混凝土须提供送货单、配合比,28天龄期后提供28天试验报告。(2)混凝土浇捣时,根据混凝土强度和配合比在浇注点分别取样进行复试,复试后提供28天强度检测报告,取样时应由监理现场见证。(3)浇筑商品混凝土时,严禁向混凝土中加水,严格控制坍落度。







(1)试验目的:检测工程桩成孔质量,一般检测下列四项技术指标即孔径、孔深、垂直度及沉渣厚度判断是否满足设计要求。(2)试验方法:测孔工作是在钻探成孔一清之后,灌注成桩之前进行。抽测数量 一般为工程桩的10%

(2)试验方法:通过在桩顶施加激振信号产生应力波,该应力波沿桩身传播过程中,遇到不连续界面(如蜂窝、夹泥、断裂、孔洞等缺陷)和桩底面时,将产生反射波,检测分析反射波的传播时间、幅值和波形特征,就能判断桩的完整性。 

(1)试验目的:检测桩身的完整性,单桩竖向抗压承载力。(2)试验方法:用重锤冲击桩顶,使桩-土产生足够的相对位移,以充分激发桩周土阻力和桩端支承力,通过安装在桩顶以下桩身两侧的加速度传感器和安装在重锤上的加速度传感器接收桩和锤的应力波信号,应用应力波理论分析处理力和速度时程曲线,从而判定桩的承载力和评价桩身质量完整性。

(1)测试目的:检测桩身混凝土缺陷并定位。试验在自然地面处进行 。(2)测试方法:在基桩施工前,根据桩直径大小预埋一定数量的声测管,作为换能器的通道。测试时每两根声测管为一组,通过水的耦合,超声脉冲信号从一根声测管中的换能器中发射出去,在另一根声测管中的换能器接收信号,超声仪测定有关参数,采集记录储存。换能器由桩底同时往上(或由桩顶同时往下)每隔50cm逐点检测,遍及各个截面。
(1)试验目的:检测灌注桩桩长,桩身混凝土强度,桩底沉渣厚度,桩身完整性类别。(2)试验方法:采用单动双管金刚石薄壁钻头正循环取芯工艺,该工艺确保了钻具及冲洗液对芯样的最小扰动,采取率最高,对砼芯样尤为适宜。再对芯样进行试压。

四种基桩完整性检测方法各有所长。所以,桩基工程的合理检测方法如下:对于直径大于800 mm,并已埋置声测管的基桩,建议用声波透射法检测;对于直径小于800 mm,建议用低应变法检测;对于有承载力要求的用高应变法检测;对于有检测中有疑问的基桩用钻心法检测(2)试验方法:试验在自然地坪表面进行,利用锚桩及反力梁组成反力系统,通过液压千斤顶对试验桩进行加载,加载量由RS-JYB全自动加荷量测系统控制,加载时千斤顶合力尽可能通过桩的几何中心,以尽量减小偏心压力。 

1、当设计有要求或满足下列条件之一时,施工前应采用静载试验确定单桩竖向抗压承载力特征值:(1) 设计等级为甲级的桩基,无相关试桩资料可参考的设计等级为乙级的桩基;检测数量在同一条件下不应少于3 根,且不宜少于总桩数的1%;当工程桩总数在50 根以内时,不应少于2 根2、对于承受拔力和水平力较大的桩基,应进行单桩竖向抗拔、水平承载力检测。检测数量不应少于总桩数的l%,且不应少于3 根3、混凝土桩的桩身完整性检测的抽检数量应符合下列规定(1) 设计等级为甲级,或地质条件复杂。成桩质量可靠性较低的灌注桩,抽检数量不应少于总桩数的30%,且不得少于20 根;其他桩基工程的抽检数量不应少于总桩数的20%,且不得少于10 根。Ⅱ类桩桩身有轻微缺陷,不会影响桩身结构承载力的正常发挥以上内容来源于网络收集整理,如有侵权请联系客服